Richard Bolitho Adelborst
Onbekend
De Revuegirl
LordLister (861)
De Revue Girl
LordLister (651)
Renwagen No
LordLister (662)
Het Renpaard Als Redder
LordLister (707)
rendezvous in het heelal
Perry Rhodan (225)
De reis
Reis naar Merw / De Aarde en haar Volken, 1887
Reis door Griekenland / De Aarde en haar Volken, 1887
Reglement van orde van de eerste kamer
De Redding Van Goudhaar
LordLister (857)
Rechteloos
De Ratten Van Londen
LordLister (895)
De Ramp Van De Indor
Lord Lister Nieuw (52)
De Ramp (Fotoboek over de watersnoodramp 1953)
Rafles Te New York
Lord Lister Nieuw (3)
Rafles in De Onderwereld
Lord Lister Nieuw (2)
Rafles Duikt Weer Op
Lord Lister Nieuw (1)
Raffles wreekt Marlowe
John Rafles (1)
Raffles rolt de gangsters
Raffles Loopt in Den Val
LordLister (705)
Raffles en Amor
LordLister (875)
Raffles Doodsvijand
LordLister (777)
De Radar Maniak
Lord Lister Nieuw (8)
De Race Naar Het Rotseneiland
LordLister (686)
Een Raadselachtige Misdaad
LordLister (817)
Het Raadsel Van Russell Square
LordLister (821)
Het Raadsel Van Rossfield Manor
LordLister (892)
Het Raadsel Van Niassa
LordLister (328)
Het raadsel van de verdwenen pinda's
Het Raadsel Van De Metro
LordLister (902)
Het Raadsel Van De Groene Dood
Lord Lister Nieuw (10)
Een Raadsel Opgelost
LordLister (1)
Het Raadsel Der Zee
LordLister (766)
Het Raadsel Der Parelen
LordLister (688)
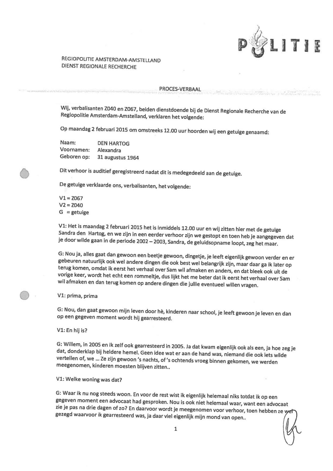
PV-verhoor-Alexan[..]
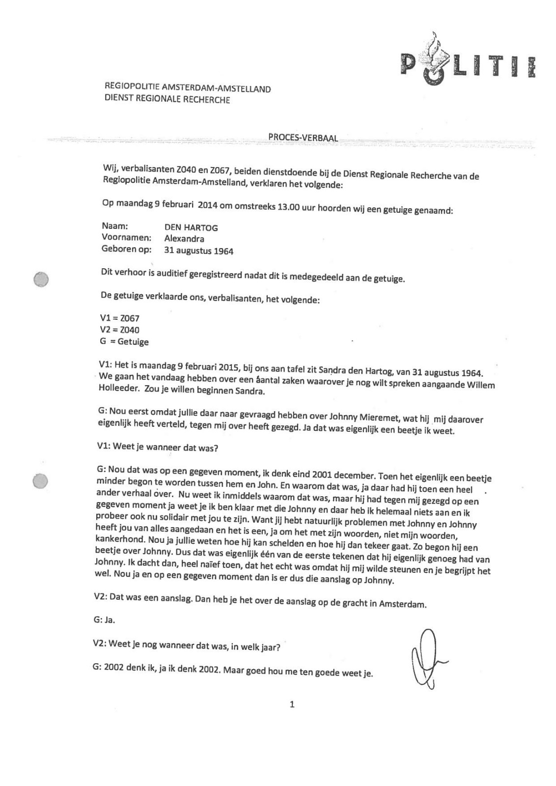
PV--s-verhoren-De[..]
Project Het Lord Lister Genootschap
Professor Zukor De Geniale Misdadiger
Lord Lister Nieuw (9)
Professor Shirley
LordLister (862)
De Prins Van Georgie
De Prins Der Misdadigers
LordLister (807)
pr-welt
Het Politieke Raadsel
Lord Lister (126)
Politie en Boeven
LordLister (799)
Plattegrond Wandelroute
Planeer der duizend vreugden
Perry Rhodan (343)
De Plaatsvervanger
LordLister (819)
Pisa / De Aarde en haar Volken, 1887
De Piraten Van De Bias Baai
LordLister (884)
Piraten Der Lucht
LordLister (268)
Pinokkio
PINDARUS 16-1
LordLister (906)
Peter Pan en Kapitein Haak
Perzisch Avontuur
Lord Lister Nieuw (51)
Perry Rhodan Welt